Orbital inclination change Articles on aviation - Aerospace Engineering
airports worldwide
Other aviation articles
Airport photos
Aircraft photos
Spacecraft photos
Earth from airplane
Earth from space
Airports worldwide
Advertise for free!
Orbital inclination change

By Wikipedia,
the free encyclopedia,

http://en.wikipedia.org/wiki/Orbital_inclination_change

Orbital inclination change is an orbital maneuver aimed at changing the inclination of an orbiting body's orbit. This maneuver is also known as an orbital plane change as the plane of the orbit is tipped. This maneuver requires a change in the orbital velocity vector (delta v) at the orbital nodes (i.e. the point where the initial and desired orbits intersect, the line of orbital nodes is defined by the intersection of the two orbital planes).

Efficiency

In general, inclination changes require the most delta v to perform, and most mission planners try to avoid them whenever possible to conserve fuel. This can sometimes be achieved by launching a spacecraft directly into the desired inclination, or as close to it as possible so as to minimize the inclination change required.

Maximum efficiency of inclination change is achieved at apoapsis, (or apogee), where orbital velocity v\, is the lowest. In some cases, it may require less total delta v to raise the satellite into a higher orbit, change the orbit plane at the higher apogee, and then lower the satellite to its original altitude.

For the most efficient example mentioned above, targeting an inclination at apoapsis also changes the argument of periapsis. However, targeting in this manner limits the mission designer to changing the plane only along the line of apsides.

Inclination entangled with other orbital elements

An important subtlety of performing an inclination change is that Keplerian orbital inclination is defined by the angle between ecliptic North and the vector normal to the orbit plane, (i.e. the angular momentum vector). This means that inclination is always positive and is entangled with other orbital elements primarily the argument of periapsis which is in turn connected to the longitude of the ascending node. This can result in two very different orbits with precisely the same inclination.

Calculation

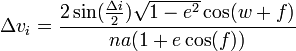
In a pure inclination change, only the inclination of the orbit is changed while all other orbital characteristics (radius, shape.. etc) remains the same as before. Delta-v (\Delta{v_i}\,) required for an inclination change (\Delta{i}\,) can be calculated as follows:

\Delta{v_i}= {2\sin(\frac{\Delta{i}}{2})\sqrt{1-e^2}\cos(w+f) \over {na(1+e\cos(f))}}

where:

For more complicated maneuvers which may involve a combination of change in inclination and orbital radius, the amount of delta v is the vector difference between the velocity vectors of the initial orbit and the desired orbit at the transfer point.

See also




Text from Wikipedia is available under the Creative Commons Attribution/Share-Alike License; additional terms may apply.


Published in July 2009.




Click here to read more articles related to aviation and space!














christianity portal
directory of hotels worldwide
 
 

Copyright 2004-2026 © by Airports-Worldwide.com, Vyshenskoho st. 36, Lviv 79010, Ukraine
Legal Disclaimer